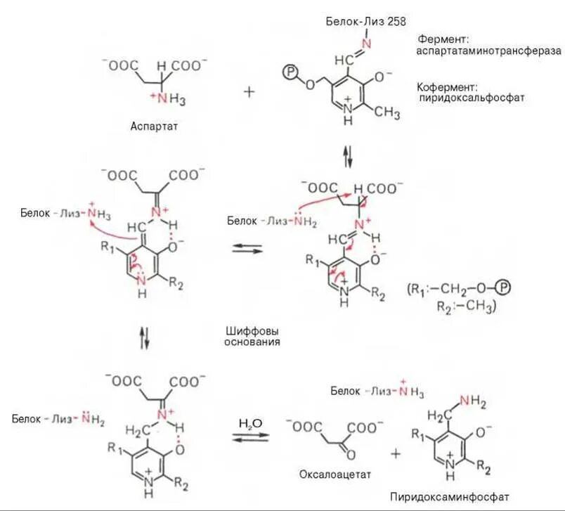
Механизм аминокислот