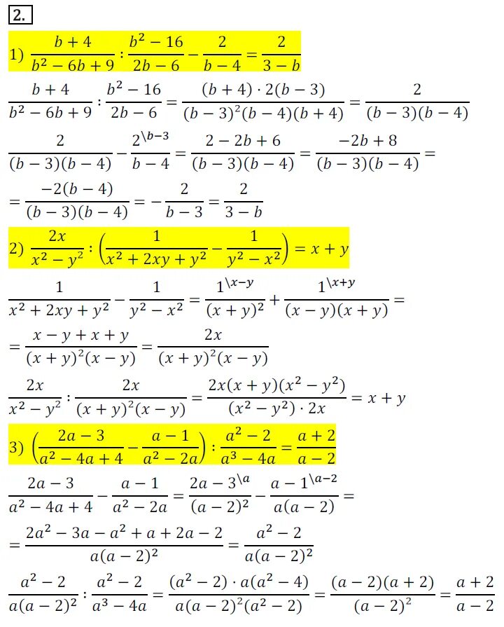
Мерзляк алгебра 8 углубленный