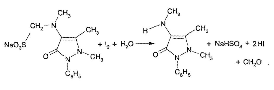
Метод количественного определения анальгина