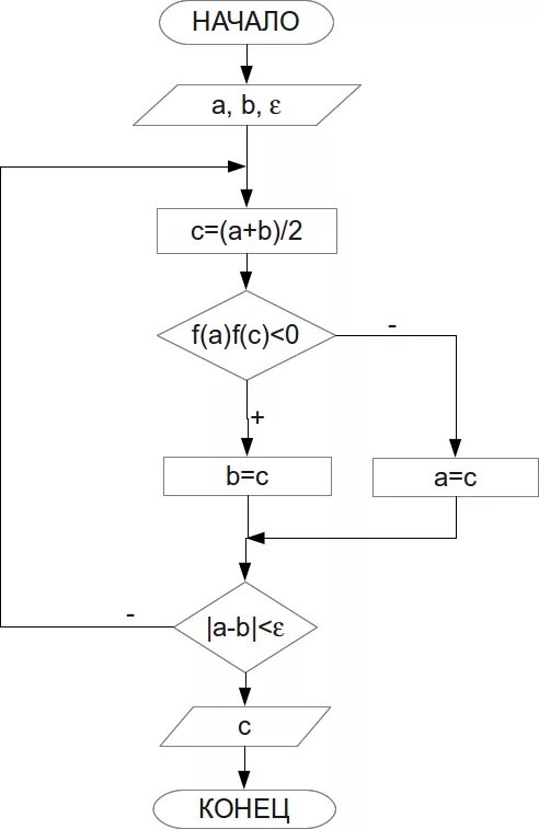
Метод половинного деления алгоритм