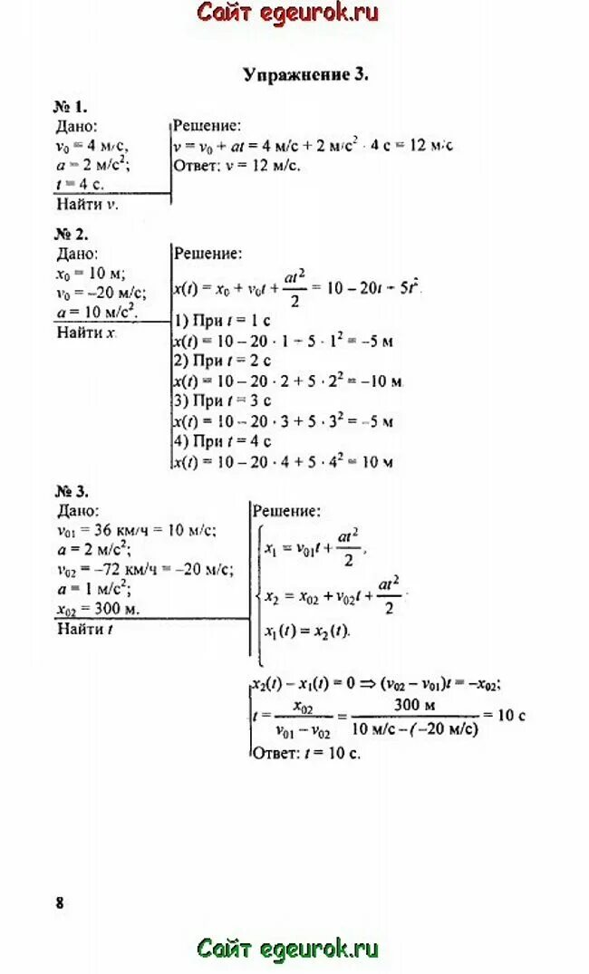
Мякишев 10 класс ответы