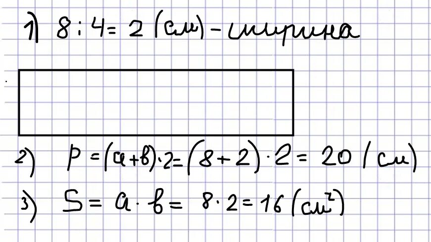
На чертеже изображен прямоугольник площадь которого 216