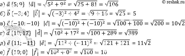
Найдите длину вектора 6 3