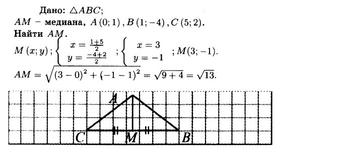
Найдите координаты вершин равнобедренного треугольника авс изображенного