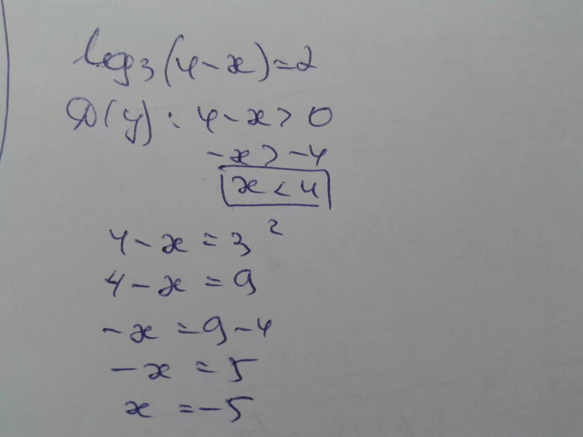
Найдите корень уравнения 4x 3 5