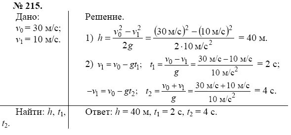
Найдите максимальную высоту на которую поднимется