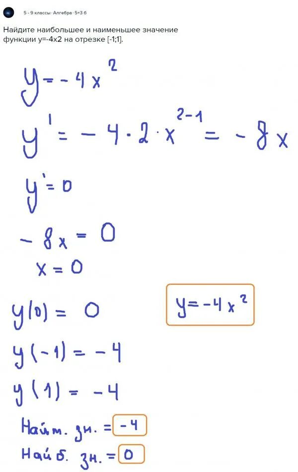
Найдите наименьшее значение функции 4 x