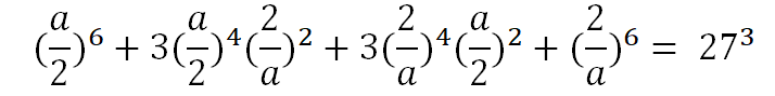
Найдите значение выражения 27 cos 2