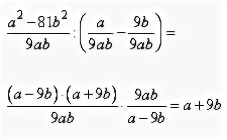
Найдите значение выражения a 3 b 2