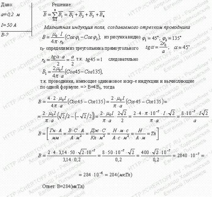
Найти магнитную индукцию поля в точке