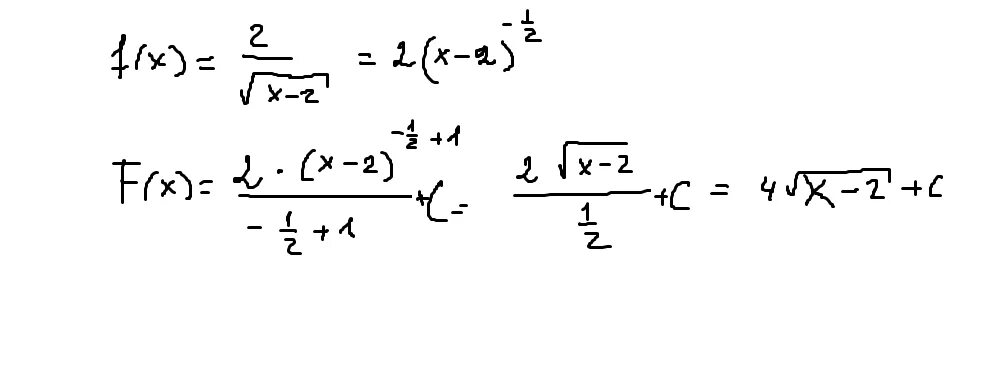
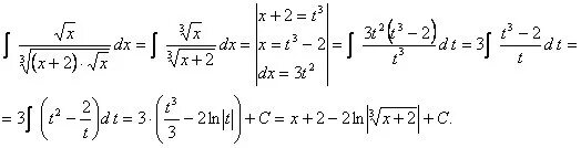
Найти первообразную 2 корень из х