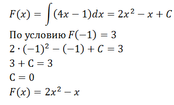
Найти первообразную функции проходящей через точку