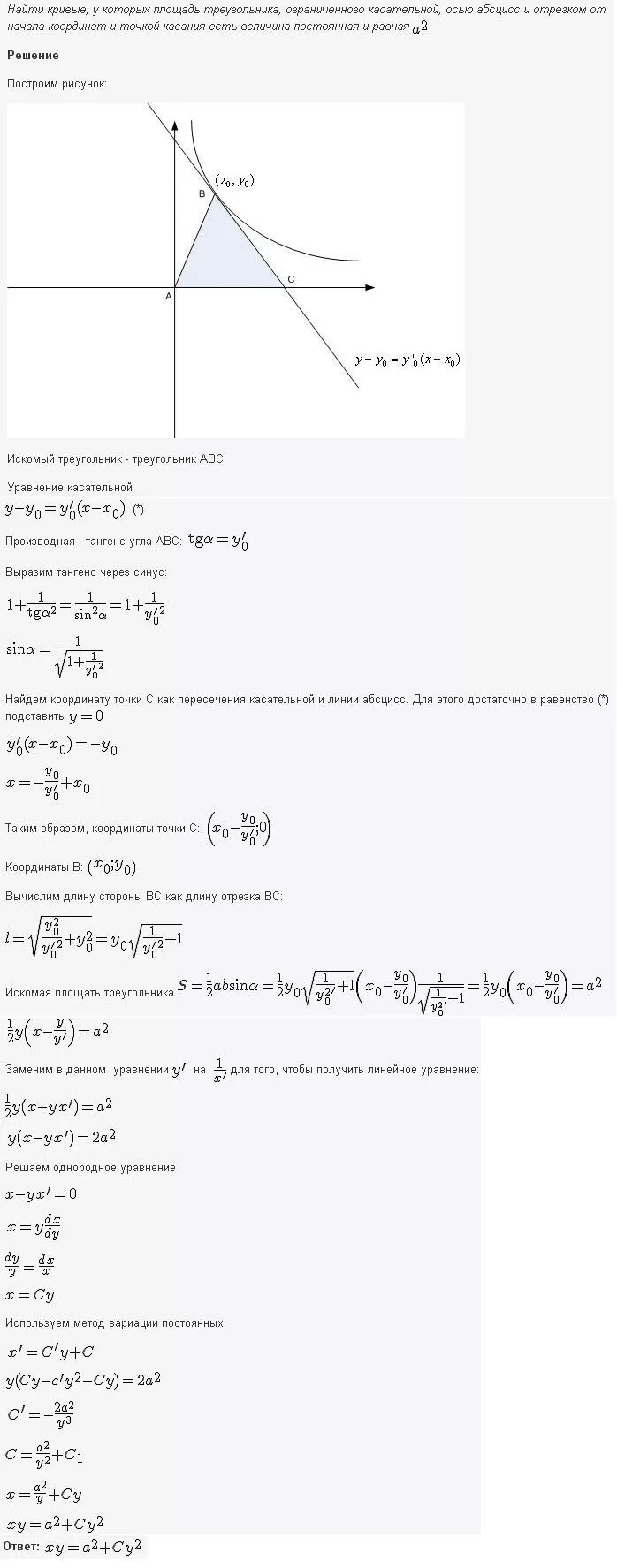
Найти площадь треугольника ограниченного прямыми