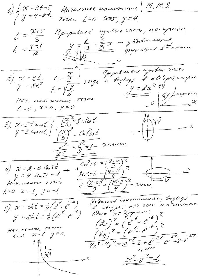
Найти траекторию движения точки по заданному уравнению