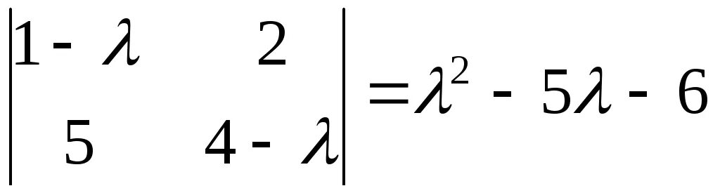
Найти значение матричного многочлена