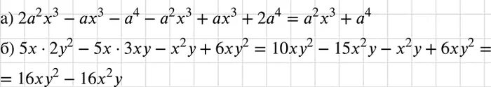
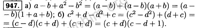
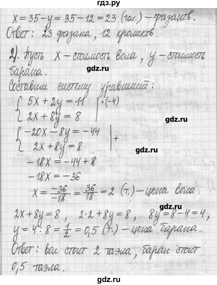
Номер 571 по алгебре 7