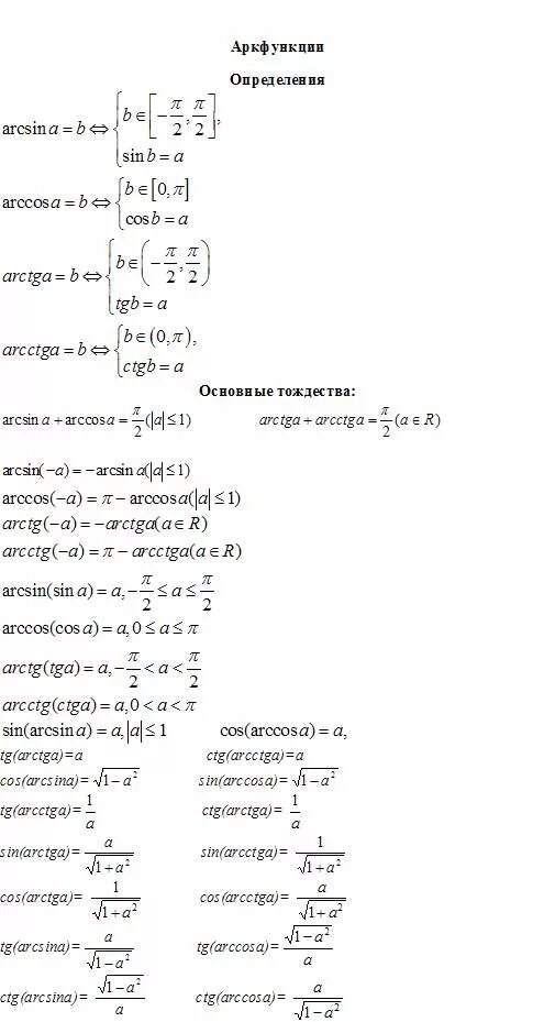
Обратные тригонометрические функции арксинус