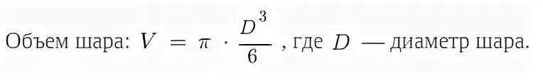
Однородный шар диаметром 3 см весит 162