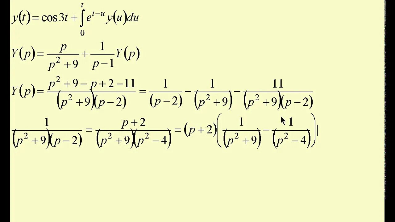
Операционный метод решения дифференциальных