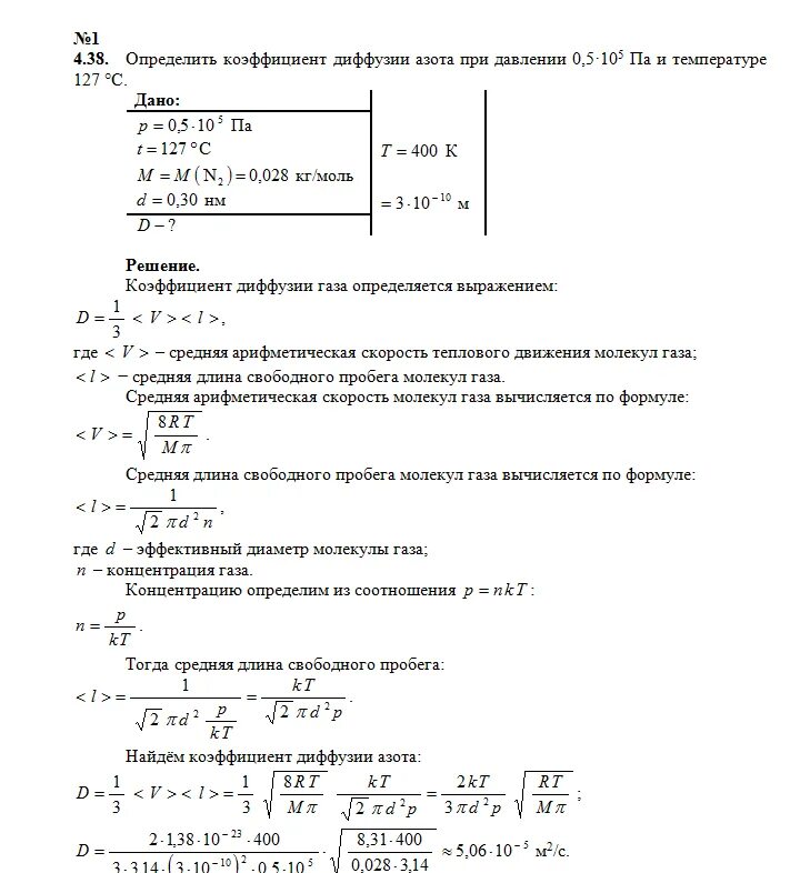
Определить давление азота