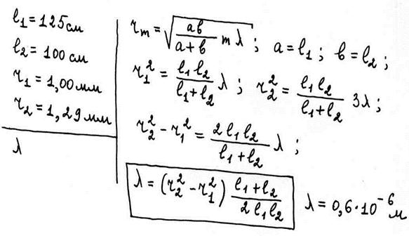
Определите длину волны нормально падающего на решетку. Определите длину волны нормально падающего на решетку

Определите длину волны нормально падающего на решетку. Определите длину волны нормально падающего на решетку
40 / 40