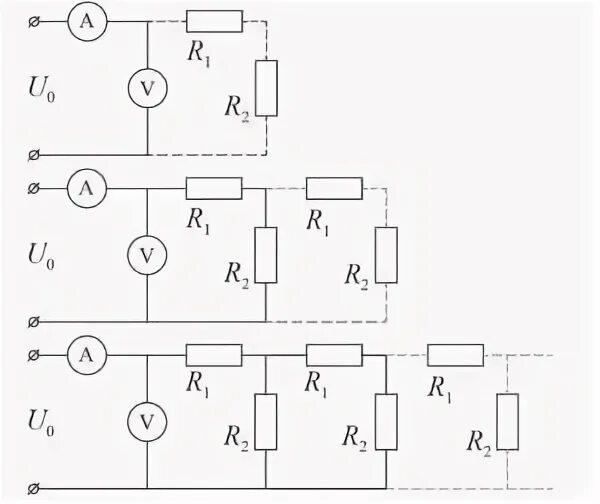
Определите сопротивление цепи r1 40