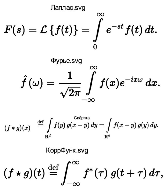
Оригинал и изображение функции