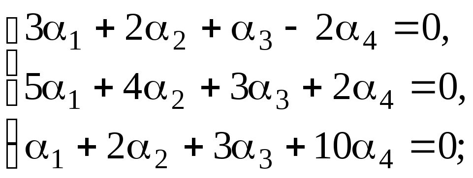
Ортогональное дополнение вектора