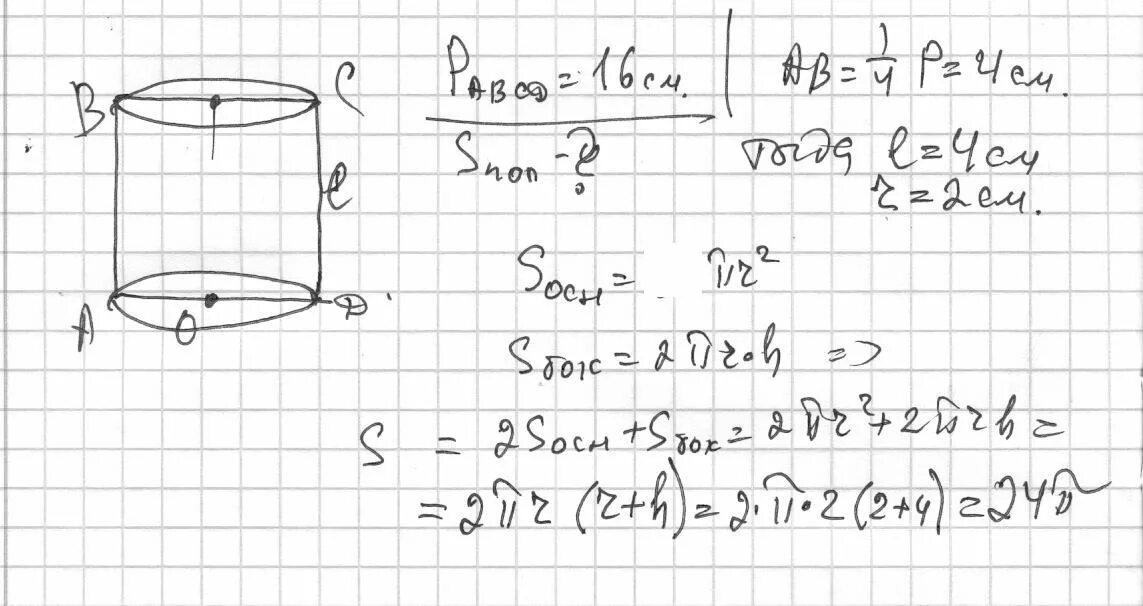
Осевое сечение цилиндра квадрат основания 16п