Главная
»
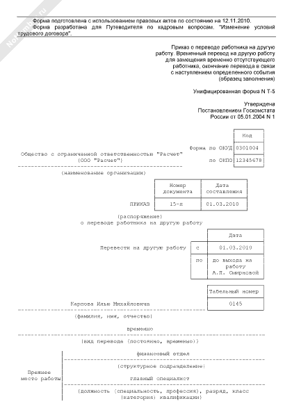
Перевод работника для замещения отсутствующего работника
Перевод работника для замещения отсутствующего работника. Перевод работника для замещения отсутствующего работника
« Предыдущее
21 / 81
Следующее »