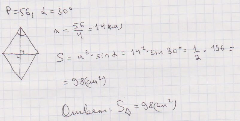
Периметр ромба 60 угол 30