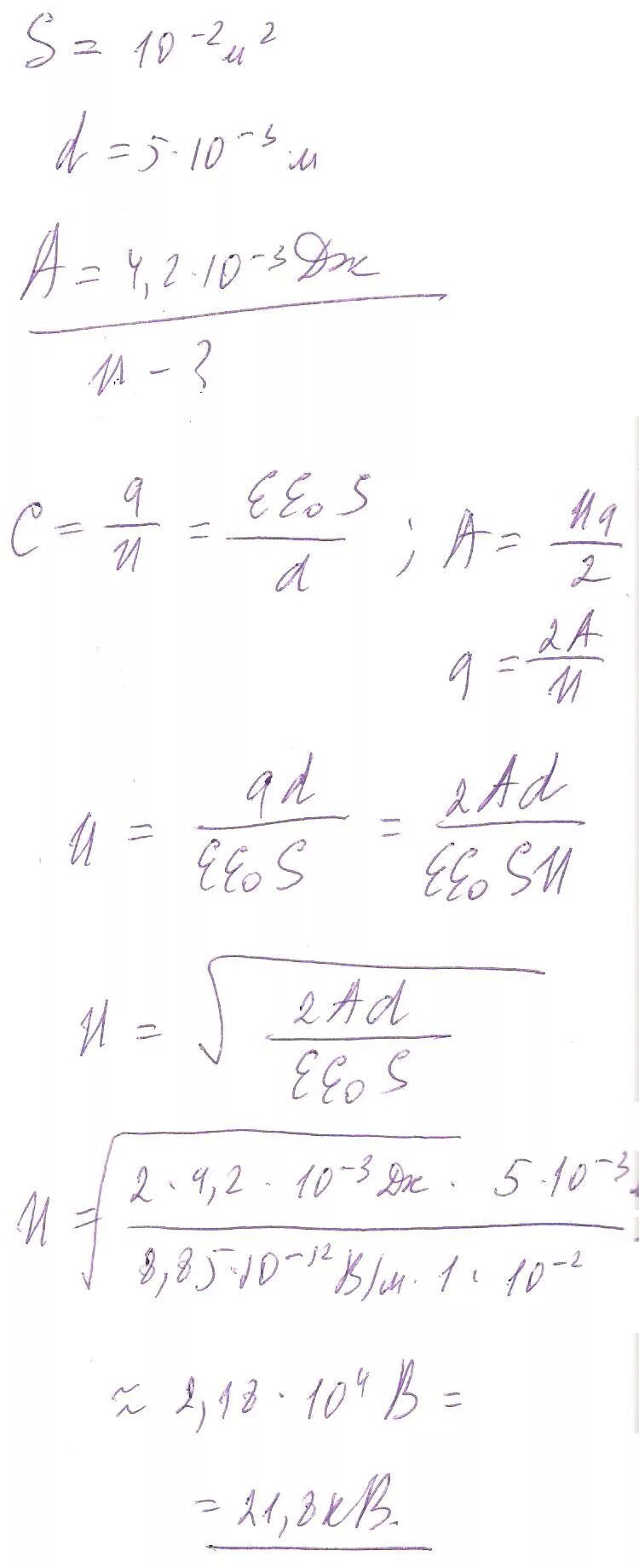
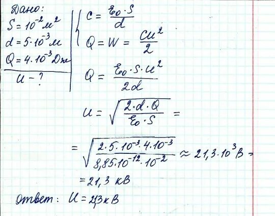
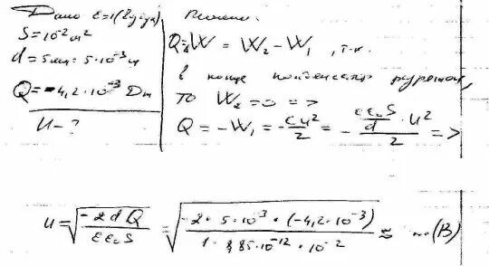
Площадь пластин плоского воздушного