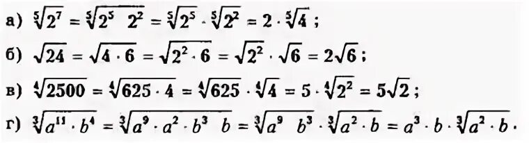
Под корнем 17 5 4