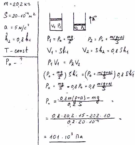
Под поршнем вертикального цилиндра находится