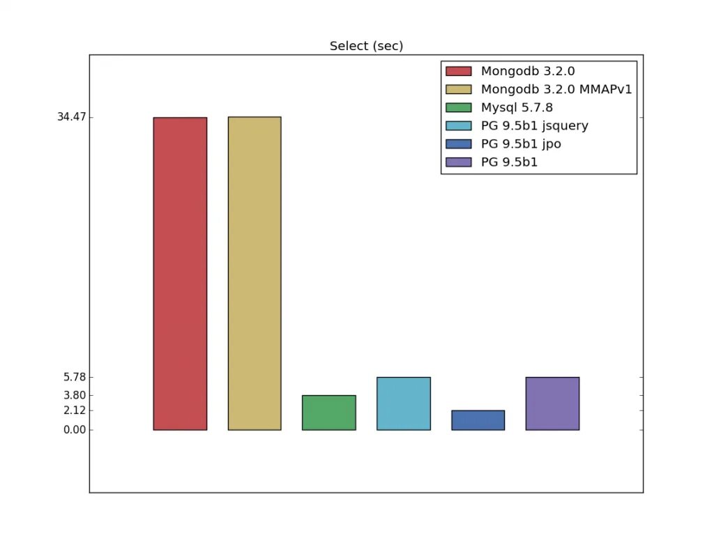
Postgresql compare