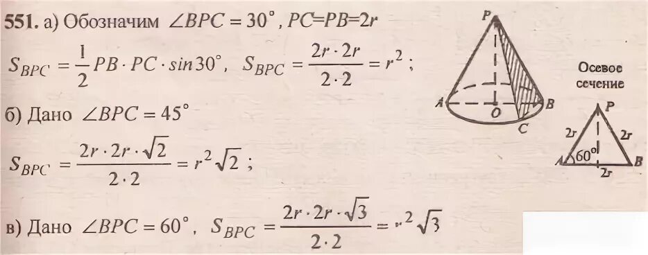
Правильный треугольник найти r