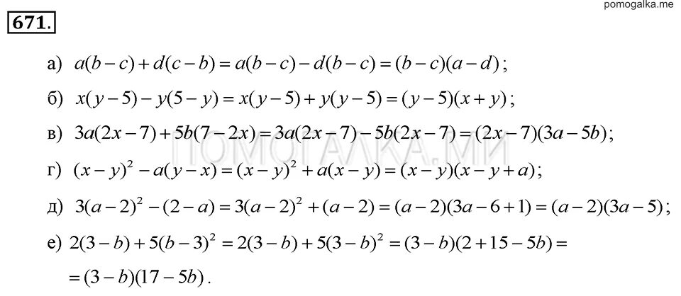
Представьте выражение в виде произведения 2 многочленов