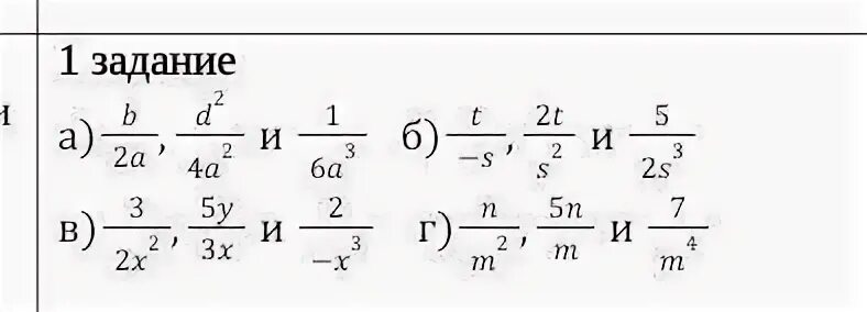
Преобразуйте заданное