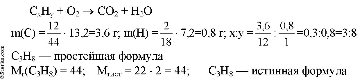
При сжигании углеводорода образуется