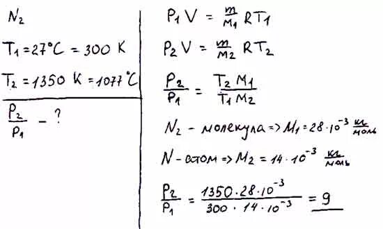
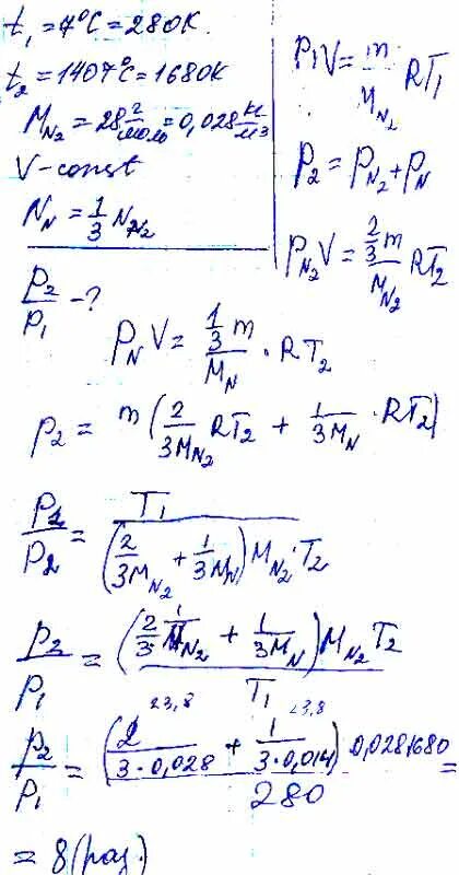
При увеличении температуры азота от 27