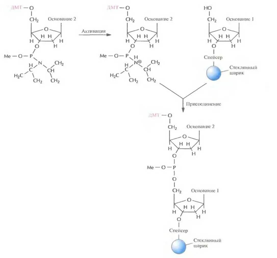
Присоединение метильной группы к днк