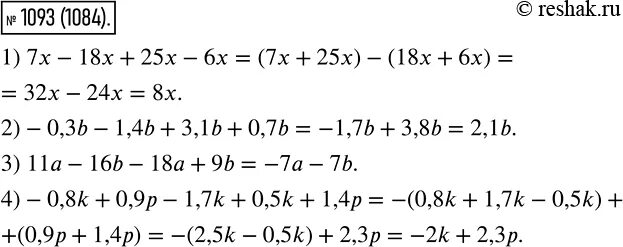
Приведите подобные слагаемые 11а 16b 18a 9b