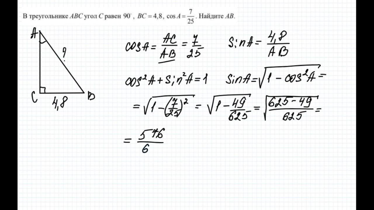
Прототип 7 задания егэ математика профиль