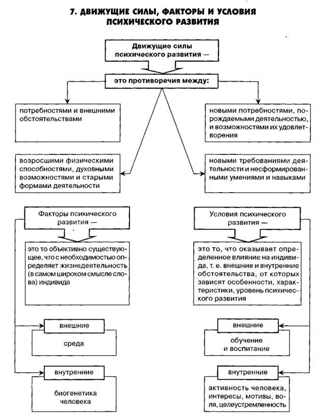
Психическое развитие схема