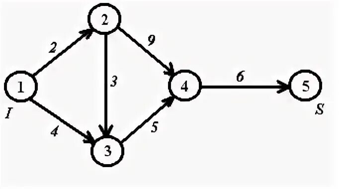
Ранний срок свершения события сетевого графика