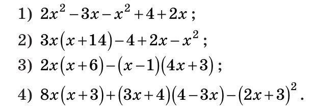
Раскрыть скобки 2x 1 2