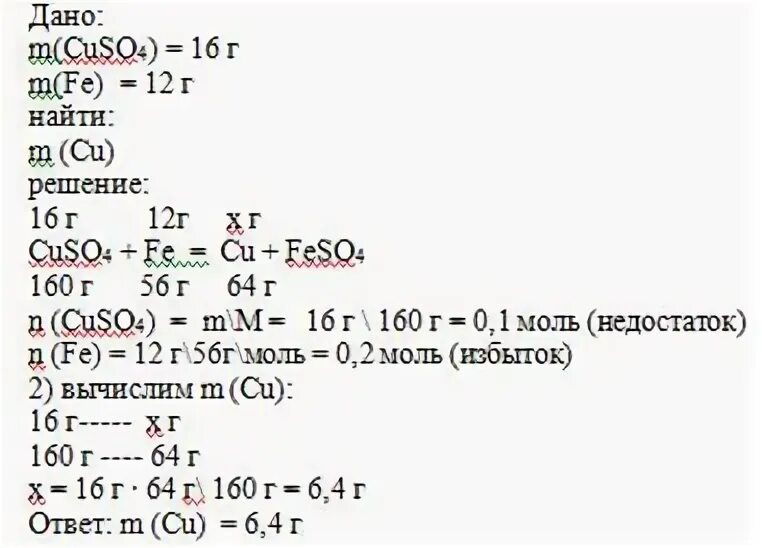
Рассчитайте массу сульфата меди содержащего