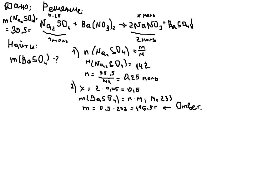
Рассчитайте массу сульфата натрия образовавшегося при нейтрализации