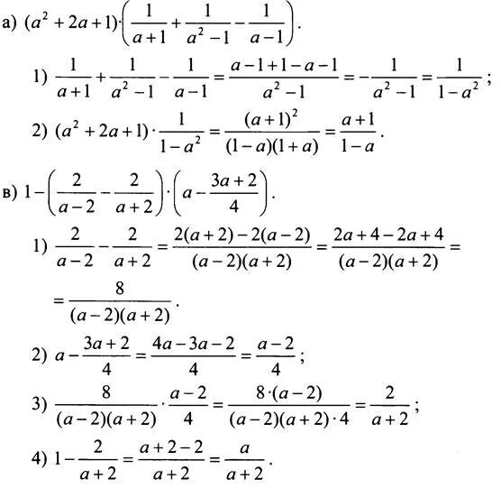
Рациональные дроби значение выражения