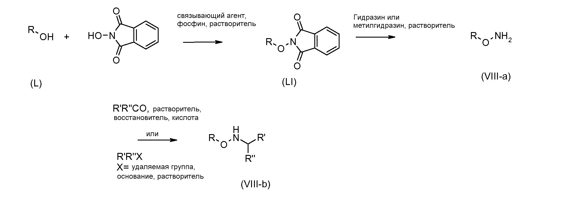
Реакции фосфина с кислотами